本文最后更新于 454 天前,其中的信息可能已经有所发展或是发生改变。
注:参考视频分布滞后模型与自回归模型-上_哔哩哔哩_bilibili
基础概念
滞后变量
滞后效应是什么?
一般来说,因为解释变量对被解释变量的影响不可能在短时间内完成。所以,解释变量需要通过一段时间才能完全作用于被解释变量。(存在时间滞后)
简洁:被解释变量受自身或其它变量过去值影响的现象称为滞后效应。
滞后变量是什么?
滞后变量:过去时期的、对当前被解释变量产生影响的变量。
滞后变量的分类
滞后解释变量
滞后被解释变量
滞后变量模型是什么?
把滞后变量引入回归模型,这种回归模型称为滞后变量模型。
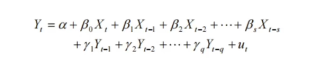
滞后模型
滞后模型一般形式

其中:
s:滞后解释变量的滞后期长度
q:滞后被解释变量的滞后期长度
滞后模型的类型
有限分布模型/无线分布模型(根据滞后长度区分)
若滞后期长度为有限,则称有限滞后变量模型
反之,则称 无限滞后变量模型
分布滞后模型
基础概念
分布滞后模型公式

分布滞后模型的系数

分布滞后模型的估计
有限分布滞后模型,如果随机扰动项满足古典假定,可以考虑用最小二乘法对模型进行
估无限分布滞后模型,由于滞后项无限多而样本观测总是有限的,因此不能直接对其进行估计
存在的问题
自由度问题(于自由度的过分损失,致使估计偏差增大,统计显著性检验失效)
多重共线性问题(滞后变量的滞后值之间通常存在较强的联系)
滞后长度难于确定(解决方法:用信息准则确定最优滞后长度)
有限分布滞后模型的估计方法










